
Journal of library and information science in agriculture ›› 2025, Vol. 37 ›› Issue (10): 53-66.doi: 10.13998/j.cnki.issn1002-1248.25-0396
LI Xinxin1, MA Yumeng2,3(
), JU Zihan3, WANG Jing4
CLC Number:
| [1] | 郑新曼, 董瑜. 政策文本量化研究的综述与展望[J]. 现代情报, 2021, 41(2): 168-177. |
| ZHENG X M, DONG Y. Review on quantitative analysis of political texts[J]. Journal of modern information, 2021, 41(2): 168-177. | |
| [2] | 孙坦, 张智雄, 周力虹, 等. 人工智能驱动的第五科研范式(AI4S)变革与观察[J]. 农业图书情报学报, 2023, 35(10): 4-32. |
| SUN T, ZHANG Z X, ZHOU L H, et al. The transformation and observations of AI for science (AI4S) driven by artificial intelligence[J]. Journal of library and information science in agriculture, 2023, 35(10): 4-32. | |
| [3] | 赵瑞雪, 黄永文, 马玮璐, 等. ChatGPT对图书馆智能知识服务的启示与思考[J]. 农业图书情报学报, 2023, 35(1): 29-38. |
| ZHAO R X, HUANG Y W, MA W L, et al. Insights and reflections of the impact of ChatGPT on intelligent knowledge services in libraries[J]. Journal of library and information science in agriculture, 2023, 35(1): 29-38. | |
| [4] | 王恒, 唐孝国, 郭俊亮. 基于电商评价的文本情感分析研究与应用[J]. 黑龙江科学, 2022, 13(12): 29-31. |
| WANG H, TANG X G, GUO J L. Research and application of text sentiment analysis based on E-commerce evaluation[J]. Heilongjiang science, 2022, 13(12): 29-31. | |
| [5] | 王钦炀, 施水才, 王洪俊. 文本情感分析综述[J]. 软件导刊, 2025, 24(1): 193-202. |
| WANG Q Y, SHI S C, WANG H J. A review of textual sentiment analysis[J]. Software guide, 2025, 24(1): 193-202. | |
| [6] | ARAUJO A F, GÔLO M P S, MARCACINI R M. Opinion mining for app reviews: An analysis of textual representation and predictive models[J]. Automated software engineering, 2021, 29(1): 5. |
| [7] | 霍朝光, 尹卓, 杨媛, 等. 基于大模型的政策反讽评论自动识别方法研究[J]. 情报学报, 2024, 43(12): 1414-1424. |
| HUO C G, YIN Z, YANG Y, et al. Automatic identification method of policy irony comments based on large language models[J]. Journal of the China society for scientific and technical information, 2024, 43(12): 1414-1424. | |
| [8] | 中国政府网. 新能源汽车是我国汽车产业高质量发展的战略选择[EB/OL]. [2025-05-20]. |
| /content_ 6887665.htm. | |
| [9] | ARAQUE O, ZHU G G, IGLESIAS C A. A semantic similarity-based perspective of affect lexicons for sentiment analysis[J]. Knowledge-based systems, 2019, 165: 346-359. |
| [10] | ASGHAR M Z, KHAN A, AHMAD S, et al. Lexicon-enhanced sentiment analysis framework using rule-based classification scheme[J]. PLoS one, 2017, 12(2): e0171649. |
| [11] | ASGHAR M Z, AHMAD S, QASIM M, et al. SentiHealth: Creating health-related sentiment lexicon using hybrid approach[J]. SpringerPlus, 2016, 5(1): 1139. |
| [12] | HAN K X, WEI C E, CHIU C C, et al. Application of support vector machine (SVM) in the sentiment analysis of twitter dataset[J]. Applied sciences, 2020, 10(3): 1125. |
| [13] | NGUYEN T H, SHIRAI K. Aspect-based sentiment analysis using tree kernel based relation extraction[C]//Computational Linguistics and Intelligent Text Processing. Cham: Springer, 2015: 114-125. |
| [14] | KANG H, YOO S J, HAN D. Senti-lexicon and improved naïve bayes algorithms for sentiment analysis of restaurant reviews[J]. Expert systems with applications, 2012, 39(5): 6000-6010. |
| [15] | OSMANI A, MOHASEFI J B, GHAREHCHOPOGH F S. Enriched latent dirichlet allocation for sentiment analysis[J]. Expert systems, 2020, 37(4): e12527. |
| [16] | LI H C, MA Y, MA Z S, et al. Weibo text sentiment analysis based on BERT and deep learning[J]. Applied sciences, 2021, 11(22): 10774. |
| [17] | SONG M, PARK H, SHIN K S. Attention-based long short-term memory network using sentiment lexicon embedding for aspect-level sentiment analysis in Korean[J]. Information processing & management, 2019, 56(3): 637-653. |
| [18] | KARDAKIS S, PERIKOS I, GRIVOKOSTOPOULOU F, et al. Examining attention mechanisms in deep learning models for sentiment analysis[J]. Applied sciences, 2021, 11(9): 3883. |
| [19] | SACHIN S, TRIPATHI A, MAHAJAN N, et al. Sentiment analysis using gated recurrent neural networks[J]. SN computer science, 2020, 1(2): 74. |
| [20] | MAHADEVASWAMY U B, SWATHI P. Sentiment analysis using bidirectional LSTM network[J]. Procedia computer science, 2023, 218: 45-56. |
| [21] | POTA M, VENTURA M, FUJITA H, et al. Multilingual evaluation of pre-processing for BERT-based sentiment analysis of tweets[J]. Expert systems with applications, 2021, 181: 115119. |
| [22] | MUHAMMADI R H, LAKSANA T G, ARIFA A B. Combination of support vector machine and lexicon-based algorithm in twitter sentiment analysis[J]. Khazanah Informatika: Jurnal ilmu komputer dan informatika, 2022, 8(1): 59-71. |
| [23] | HUANG M H, XIE H R, RAO Y H, et al. Lexicon-based sentiment convolutional neural networks for online review analysis[J]. IEEE transactions on affective computing, 2022, 13(3): 1337-1348. |
| [24] | 黄萃, 吕立远. 文本分析方法在公共管理与公共政策研究中的应用[J]. 公共管理评论, 2020, 2(4): 156-175. |
| HUANG C, LV L Y. The application of text analysis to public management and policy research[J]. China public administration review, 2020, 2(4): 156-175. | |
| [25] | SLAPIN J B, PROKSCH S O. A scaling model for estimating time-series party positions from texts[J]. American journal of political science, 2008, 52(3): 705-722. |
| [26] | 赵雅莹, 郭继荣, 车向前. 评价理论视角下英国对“一带一路”态度研究[J]. 情报杂志, 2016, 35(10): 37-41. |
| ZHAO Y Y, GUO J R, CHE X Q. An analysis of Britain's attitude towards the "one belt and one road initiative" from the perspective of appraisal theory[J]. Journal of intelligence, 2016, 35(10): 37-41. | |
| [27] | LI Z Y, DAI Y L, LI X L. Construction of sentimental knowledge graph of Chinese government policy comments[J]. Knowledge management research & practice, 2022, 20(1): 73-90. |
| [28] | 武俊宏, 赵阳, 宗成庆. ChatGPT能力分析与未来展望[J]. 中国科学基金, 2023, 37(5): 735-742. |
| WU J H, ZHAO Y, ZONG C Q. Analysis of ChatGPT's capabilities and future prospects[J]. Bulletin of national natural science foundation of China, 2023, 37(5): 735-742. | |
| [29] | BROWN T B, MANN B, RYDER N, et al. Language models are few-shot learners[C]//Proceedings of the 34th International Conference on Neural Information Processing Systems. Vancouver, BC, Canada. ACM, 2020: 1877-1901. |
| [30] | 李逸飞, 张玲玲, 董宇轩, 等. 基于大语言模型增强表征对齐的小样本持续关系抽取方法[J]. 计算机科学与探索, 2024, 18(9): 2326-2336. |
| LI Y F, ZHANG L L, DONG Y X, et al. Large language model augmentation and feature alignment method for few-shot continual relation extraction[J]. Journal of frontiers of computer science and technology, 2024, 18(9): 2326-2336. | |
| [31] | 李诗晨, 王中卿, 周国栋. 大语言模型驱动的跨领域属性级情感分析[J]. 软件学报, 2025, 36(2): 644-659. |
| LI S C, WANG Z Q, ZHOU G D. LLM enhanced cross domain aspect-based sentiment analysis[J]. Journal of software, 2025, 36(2): 644-659. | |
| [32] | 李居昊, 石磊, 丁锰, 等. 基于大语言模型的社交媒体文本立场检测[J]. 计算机科学与探索, 2025, 19(5): 1302-1312. |
| LI J H, SHI L, DING M, et al. Social media text stance detection based on large language models[J]. Journal of frontiers of computer science and technology, 2025, 19(5): 1302-1312. | |
| [33] | 李向明. 跨文化背景下大语言模型的文本生成与情感表达能力分析[J]. 外语电化教学, 2024(4): 25-31, 104. |
| LI X M. Text and sentiment analysis of content generated by LLM representing cross-cultural contexts[J]. Technology enhanced foreign language education, 2024(4): 25-31, 104. | |
| [34] | Github. Punctuation model[EB/OL]. [2024-12-17]. . |
| [35] | Github. TudouNLP[EB/OL]. [2024-12-17]. . |
| [36] | 李蕾, 彭慧, 刘晓娟. 大语言模型细粒度评论挖掘下的博物馆服务用户满意度研究[J]. 图书情报工作, 2024, 68(17): 54-67. |
| LI L, PENG H, LIU X J. Research on user satisfaction of museum service based on fine-grained comment mining of large language model[J]. Library and information service, 2024, 68(17): 54-67. | |
| [37] | MCCOMBS M E, SHAW D L. The agenda-setting function of mass media[J]. The public opinion quarterly, 1972, 36(2): 176-187. |
| [38] | ASUR S, HUBERMAN B A. Predicting the future with social media[C]//2010 IEEE/WIC/ACM International Conference on Web Intelligence and Intelligent Agent Technology. Toronto, ON, Canada: IEEE, 2010: 492-499. |
| [39] | 宋恩梅, 朱梦娴. 社会化媒体信息分布规律研究: 以电影评论为例[J]. 信息资源管理学报, 2015, 5(3): 25-36. |
| SONG E M, ZHU M X. Magpies' tweets: The distribution law of film reviews on the social media[J]. Journal of information resources management, 2015, 5(3): 25-36. | |
| [40] | BAUMEISTER R F, BRATSLAVSKY E, FINKENAUER C, et al. Bad is stronger than good[J]. Review of general psychology, 2001, 5(4): 323-370. |
| [1] | WANG Xiaoyu, HU Jingyuan, WU Ruoyu, WANG Shu, ZHAI Yujia. An LLM-based Data Augmentation Method for Constructing Science & Technology Topic Linkages: Taking the Energy Conservation Field as an Example [J]. Journal of library and information science in agriculture, 2025, 37(9): 63-81. |
| [2] | ZHANG Li, WANG Bo, JING Shui. Generative AI-Driven Resource Discovery in Public Libraries: Service Optimization Based on a Dynamic Evaluation Model [J]. Journal of library and information science in agriculture, 2025, 37(5): 58-71. |
| [3] | QIAN Li, WANG Qianying, LIU Yi, ZHANG Yuanzhe, CHANG Zhijun. Agent Technology and Its Applications in Scientific Research [J]. Journal of library and information science in agriculture, 2025, 37(5): 5-14. |
| [4] | LIU Wei, ZHANG Lei, JI Ting, CHEN Xiaoyang. Shaping the Smart Libraries with AI: An Agent-based, Next-Generation Library Service Platform [J]. Journal of library and information science in agriculture, 2025, 37(5): 15-26. |
| [5] | SANG Yuanyuan. Multimodal Learning Technology Aimed at Exploring the Innovative Path of Library Intelligence Service [J]. Journal of library and information science in agriculture, 2025, 37(3): 42-52. |
| [6] | CAI Yiran, HU Zhengyin, LIU Chunjiang. Analysis of Progress in Data Mining of Scientific Literature Using Large Language Models [J]. Journal of library and information science in agriculture, 2025, 37(2): 4-22. |
| [7] | Haoxian WANG, Ziming ZHOU, Feifei DING, Chengfu WEI. Digital Humanities & Large Language Models: Practice and Research in Semantic Retrieval of Ancient Documents [J]. Journal of library and information science in agriculture, 2024, 36(9): 89-101. |
| [8] | Huaming LI. Opportunities and Challenges: The Use of ChatGPT in Enabling Library Knowledge Services [J]. Journal of library and information science in agriculture, 2024, 36(8): 96-105. |
| [9] | JIANG Peng, REN Yan, ZHU Beiling. Exploration and Practice of Classification Indexing Combined with Large Language Models [J]. Journal of library and information science in agriculture, 2024, 36(5): 32-42. |
| [10] | HUO Mengjia, LIU Juan, Huang Jie. Construction and Application of the Attention Analysis Model of Brand Management Policies of Agricultural Products with Geographical Indications [J]. Journal of library and information science in agriculture, 2023, 35(7): 94-104. |
| [11] | SHOU Jianqi. Towards Known Unknowns: GPT Large Language Models Empower Human-Centered Information Retrieval [J]. Journal of library and information science in agriculture, 2023, 35(5): 16-26. |
| [12] | GUO Pengrui, WEN Tingxiao. Research of the Impact of LLMs on Information Retrieval Systems and Users' Information Retrieval Behavior [J]. Journal of library and information science in agriculture, 2023, 35(11): 13-22. |
| [13] | ZHAO Ruixue, HUANG Yongwen, MA Weilu, DONG Wenjia, XIAN Guojian, SUN Tan. Insights and Reflections of the Impact of ChatGPT on Intelligent Knowledge Services in Libraries [J]. Journal of library and information science in agriculture, 2023, 35(1): 29-38. |
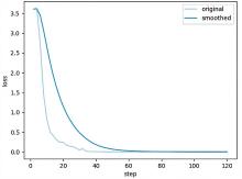
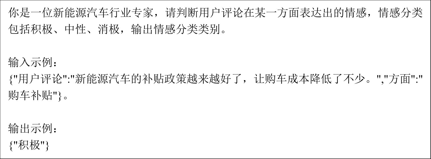
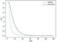
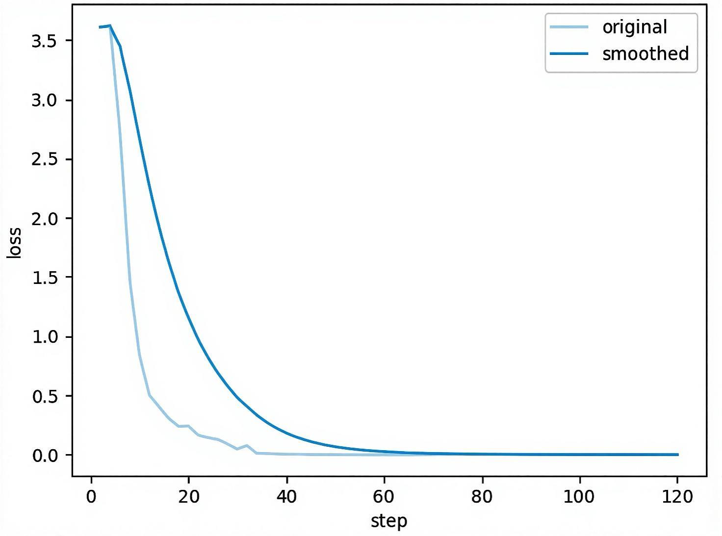
|
||